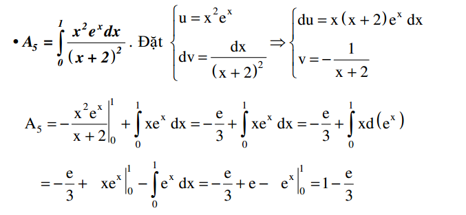
$\int\limits_{0}^{1}\dfrac{x^{2}e^{x}}{(x+2)^{2}}dx$

Hãy ấn chữ V dưới chữ đáp án để chấp nhận nếu như bạn thấy lời giải này chính xác, và nút mũi tên màu xanh để vote up nhé. Thanks! –  Trần Nhật Tân 15-02-13 02:12 PM

Bạn cần đăng nhập để có thể gửi đáp án

Chat chit và chém gió
  • vukimanh1617: Oxi có 3 đồng vị là 16;17 và 18 nhưng khối lượng nguyên tử của 3 đồng vị này chỉ lần lượt gần bằng 16;17 và 18 thôi do đó KL nguyên tử của oxi là 15.9994. (chúng ta coi KL nguyên tử là KL hạt nhân vì KL electron quá bé chỉ bằng 1/1840 KL proton nên coi như ta bỏ qua KL electron). 9/23/2020 1:01:36 PM
  • cubikt02: whew 9/29/2020 11:26:41 PM
  • cubikt02: ai on ko 9/29/2020 11:26:51 PM
  • khotaydo112005: wtf 10/12/2020 7:27:23 PM
  • khotaydo112005: hiro 10/12/2020 7:27:36 PM
  • dungcucubu123: đụ ko bay 10/17/2020 3:50:47 PM
  • cubikt02: bỏ đê bạn ei 10/17/2020 9:58:09 PM
  • tonngung: wave 11/15/2020 8:51:35 AM
  • thachthatkimquan: lo 11/26/2020 6:56:53 PM
  • ainhu2235: cho mình 5 ví dụ về hợp chất cộng hóa trị phân cực và không phân cực đi mấy chế ơii 11/29/2020 5:06:32 PM
  • ainhu2235: hép mi pờ sliii 11/29/2020 5:06:55 PM
  • trananhduc392:12/4/2020 10:04:41 PM
  • hungvidn2005: YO NIGGAS 12/5/2020 9:57:04 PM
  • hungvidn2005: IHATE NIGGERS 12/5/2020 9:57:13 PM
  • hungvidn2005: NIGGERNIGGERNIGGERNIGGER 12/5/2020 9:57:20 PM
  • hungvidn2005: To be honest I love black people 12/5/2020 9:57:33 PM
  • hungvidn2005: But those damn niggers 12/5/2020 9:57:38 PM
  • hungvidn2005: Keep on ruining stuff with their BLM and shit 12/5/2020 9:57:53 PM
  • hungvidn2005: EEEEEEEEEEEEEEEEEEEEEEEEEEEEEEEEEEE 12/5/2020 10:15:35 PM
  • hungvidn2005: I HAVEAUTISM REEEEEEEEEEEEEEEEEEEEEEEEEEEEEEEEEEEEEEEEEEEEEE 12/5/2020 10:15:42 PM
  • hungvidn2005: i hate nigger i don't like them 12/5/2020 10:16:04 PM
  • hungvidn2005: they be fucking my mother and sister thâu đêm 12/5/2020 10:16:39 PM
  • Chang Cloudy: hi mn 12/13/2020 10:42:30 AM
  • nguyenthidiemquynh2011: hii 12/13/2020 10:42:38 AM
  • Chang Cloudy: mik là thành viên mới :3 12/13/2020 10:42:51 AM
  • nguyenthidiemquynh2011: mình cx ms tham gia 12/13/2020 10:42:58 AM
  • nguyenthidiemquynh2011: bạn lớp mấy 12/13/2020 10:43:02 AM
  • Chang Cloudy: 11 :3 12/13/2020 10:43:08 AM
  • nguyenthidiemquynh2011: à 12/13/2020 10:43:13 AM
  • Chang Cloudy: mong được mn chỉ giáo smug 12/13/2020 10:43:28 AM
  • Hoàng Nguyễn: what's up 12/13/2020 11:02:48 AM
  • duong4a4b: he nhô mng 12/27/2020 8:27:00 PM
  • duong4a4b: hii 12/30/2020 9:22:19 PM
  • tramynguyenphuong2304: hí lô 1/10/2021 9:15:50 PM
  • letuan0897: có ai còn sống không big_grin 1/31/2021 8:37:05 PM
  • huyryo2004: laughing ai chết 2/5/2021 3:15:19 PM
  • huyryo2004: Ai chết 2/5/2021 3:16:00 PM
  • huyryo2004: Nnxnxnxkzk 2/5/2021 3:16:01 PM
  • huyryo2004: Djxkxjzn 2/5/2021 3:16:01 PM
  • huyryo2004: laughing ai chết 2/5/2021 3:16:01 PM
  • nguyennhan159128: ầu nâuu 2/5/2021 8:05:49 PM
  • daoduytungst1412: hi 2/13/2021 8:07:03 AM
  • nguoiketinhca123: hellopeace_sign 2/22/2021 9:18:49 PM
  • dinhlo3011: not_listening 3/2/2021 7:47:22 PM
  • jimmybeo69: Trang có từ 9 năm trước nên Dead là đúng 3/2/2021 10:09:24 PM
  • vyt27073: hello 3/18/2021 9:35:05 PM
  • duolingo: star 4/21/2021 6:11:49 AM
  • dinhthuy81003: wave 5/7/2021 11:22:35 AM
  • dinhthuy81003: hellolove_struck 5/7/2021 11:23:20 AM
  • tphko123: Hi 6/1/2021 2:30:58 PM
  • hdgt: dariusssur: alo alo'3/3/2020 1:06:28 PM dariusssur: có ai online hem3/3/2020 1:06:45 PM dariusssur: chỉ tui bài này với3/3/2020 1:07:46 PM dariusssur: ch3-ch-ch-ch2-ch33/3/2020 1:08:13 PM dariusssur: c2h5 ch33/3/2020 1:08:39 PM dariusssur: doc ten sao3/3/2020 1:08:50 PM akihabara: chào mn rolling_on_the_floor)3/4/2020 9:49:51 PM Capricorn: ...3/4/2020 10:30:00 PM nguyenhuynhhtt: giúp mk gọi tên anken vs mk rối quá3/6/2020 8:20:40 PM letrongthanh11052003: ??? hóa học là j3/6/2020 9:25:08 PM zaihophan123: hello xin chào mọi người, mình là misthy nè3/8/2020 9:00:26 PM Shiro: .3/24/2020 3:57:41 PM phuonganhlvt: haloo3/30/2020 8:57:15 PM domanhdung01102004: Ai chào tui cái coiwinking4/2/2020 10:48:09 PM Shiro: chào4/2/2020 10:48:58 PM domanhdung01102004: big_grin4/2/2020 10:49:22 PM Shiro: lần đầu tiên có người rep mình ở đây4/2/2020 10:49:39 PM Shiro: tưởng web die rồi chứ4/2/2020 10:49:49 PM domanhdung01102004: Thấy tin nhắn riêng chưa4/2/2020 10:50:24 PM Shiro: @.@4/2/2020 10:50:58 PM Shiro: ???4/2/2020 10:51:51 PM Shiro: .4/3/2020 12:28:41 AM Shiro: .4/3/2020 12:29:06 AM Shiro: .4/3/2020 12:29:17 AM domanhdung01102004: Hình như cả web có 2 đứa4/3/2020 9:03:10 AM domanhdung01102004: Ai đó trả lời tui đi angry4/3/2020 8:26:37 PM domanhdung01102004: Shiro đâu rồi4/3/2020 8:33:26 PM ngohungsi2000: e là mem mới4/8/2020 11:32:30 AM ngohungsi2000: hi mn4/8/2020 11:32:41 AM domanhdung01102004: Hello4/8/2020 9:54:24 PM cuongvit111: hi4/9/2020 8:44:48 PM cuongvit111: at_wits_end4/9/2020 8:45:43 PM Đỗ Mạnh Dũng: big_grinbig_grinbig_grin4/9/2020 10:23:25 PM dao7ac1: Lô mọi người4/26/2020 9:08:29 PM dao7ac1: Hấp thụ hoàn toàn 20.16 lít hh khí X gồm but 1 in và but 2 in vào AgNO3 NH3 dư sau pư thu dc bn gam kết tủa4/26/2020 9:09:20 PM dao7ac1: LM lms hả mọi ng4/26/2020 9:09:26 PM dao7ac1: chicken4/26/2020 9:30:22 PM dao7ac1: pig4/26/2020 9:32:09 PM jijexoj856: <script>alert(1)</script>5/8/2020 8:21:29 PM jijexoj856: "><script>alert(1)</script>5/8/2020 8:22:01 PM jijexoj856: <svg>5/8/2020 8:22:36 PM Shiro: hiiiiiiiiiiiiiiiiiiiiiiiiiiiii5/24/2020 2:30:09 PM Shiro: money_eyes5/24/2020 2:30:16 PM vukimanh1617: lô9/17/2020 4:09:15 PM vukimanh1617: happy9/17/2020 4:10:21 PM vukimanh1617: sad9/17/2020 4:10:37 PM vukimanh1617: ::9/17/2020 4:10:40 PM vukimanh1617: :^9/17/2020 4:10:45 PM vukimanh1617: ^^9/17/2020 4:10:48 PM vukimanh1617: ^^)9/17/2020 4:10:53 PM vukimanh1617: Oxi có 3 đồng vị là 16;17 và 18 nhưng khối lượng nguyên tử của 3 đồng vị này chỉ lần lượt gần bằng 16;17 và 18 thôi do đó KL nguyên tử của oxi là 15.9994. (chúng ta coi KL nguyên tử là KL hạt nhân vì KL electron quá bé chỉ bằng 1/1840 KL proton nên coi như ta bỏ qua KL electron).9/23/2020 1:01:36 PM cubikt02: whew9/29/2020 11:26:41 PM cubikt02: ai on ko9/29/2020 11:26:51 PM khotaydo112005: wtf10/12/2020 7:27:23 PM khotaydo112005: hiro10/12/2020 7:27:36 PM dungcucubu123: đụ ko bay10/17/2020 3:50:47 PM cubikt02: bỏ đê bạn ei10/17/2020 9:58:09 PM tonngung: wave11/15/2020 8:51:35 AM thachthatkimquan: lo11/26/2020 6:56:53 PM ainhu2235: cho mình 5 ví dụ về hợp chất cộng hóa trị phân cực và không phân cực đi mấy chế ơii11/29/2020 5:06:32 PM ainhu2235: hép mi pờ sliii11/29/2020 5:06:55 PM trananhduc392: lô12/4/2020 10:04:41 PM hungvidn2005: YO NIGGAS12/5/2020 9:57:04 PM hungvidn2005: IHATE NIGGERS12/5/2020 9:57:13 PM hungvidn2005: NIGGERNIGGERNIGGERNIGGER12/5/2020 9:57:20 PM hungvidn2005: To be h
  • hdgt: dariusssur: alo alo'3/3/2020 1:06:28 PM dariusssur: có ai online hem3/3/2020 1:06:45 PM dariusssur: chỉ tui bài này với3/3/2020 1:07:46 PM dariusssur: ch3-ch-ch-ch2-ch33/3/2020 1:08:13 PM dariusssur: c2h5 ch33/3/2020 1:08:39 PM dariusssur: doc ten sao3/3/2020 1:08:50 PM akihabara: chào mn rolling_on_the_floor)3/4/2020 9:49:51 PM Capricorn: ...3/4/2020 10:30:00 PM nguyenhuynhhtt: giúp mk gọi tên anken vs mk rối quá3/6/2020 8:20:40 PM letrongthanh11052003: ??? hóa học là j3/6/2020 9:25:08 PM zaihophan123: hello xin chào mọi người, mình là misthy nè3/8/2020 9:00:26 PM Shiro: .3/24/2020 3:57:41 PM phuonganhlvt: haloo3/30/2020 8:57:15 PM domanhdung01102004: Ai chào tui cái coiwinking4/2/2020 10:48:09 PM Shiro: chào4/2/2020 10:48:58 PM domanhdung01102004: big_grin4/2/2020 10:49:22 PM Shiro: lần đầu tiên có người rep mình ở đây4/2/2020 10:49:39 PM Shiro: tưởng web die rồi chứ4/2/2020 10:49:49 PM domanhdung01102004: Thấy tin nhắn riêng chưa4/2/2020 10:50:24 PM Shiro: @.@4/2/2020 10:50:58 PM Shiro: ???4/2/2020 10:51:51 PM Shiro: .4/3/2020 12:28:41 AM Shiro: .4/3/2020 12:29:06 AM Shiro: .4/3/2020 12:29:17 AM domanhdung01102004: Hình như cả web có 2 đứa4/3/2020 9:03:10 AM domanhdung01102004: Ai đó trả lời tui đi angry4/3/2020 8:26:37 PM domanhdung01102004: Shiro đâu rồi4/3/2020 8:33:26 PM ngohungsi2000: e là mem mới4/8/2020 11:32:30 AM ngohungsi2000: hi mn4/8/2020 11:32:41 AM domanhdung01102004: Hello4/8/2020 9:54:24 PM cuongvit111: hi4/9/2020 8:44:48 PM cuongvit111: at_wits_end4/9/2020 8:45:43 PM Đỗ Mạnh Dũng: big_grinbig_grinbig_grin4/9/2020 10:23:25 PM dao7ac1: Lô mọi người4/26/2020 9:08:29 PM dao7ac1: Hấp thụ hoàn toàn 20.16 lít hh khí X gồm but 1 in và but 2 in vào AgNO3 NH3 dư sau pư thu dc bn gam kết tủa4/26/2020 9:09:20 PM dao7ac1: LM lms hả mọi ng4/26/2020 9:09:26 PM dao7ac1: chicken4/26/2020 9:30:22 PM dao7ac1: pig4/26/2020 9:32:09 PM jijexoj856: <script>alert(1)</script>5/8/2020 8:21:29 PM jijexoj856: "><script>alert(1)</script>5/8/2020 8:22:01 PM jijexoj856: <svg>5/8/2020 8:22:36 PM Shiro: hiiiiiiiiiiiiiiiiiiiiiiiiiiiii5/24/2020 2:30:09 PM Shiro: money_eyes5/24/2020 2:30:16 PM vukimanh1617: lô9/17/2020 4:09:15 PM vukimanh1617: happy9/17/2020 4:10:21 PM vukimanh1617: sad9/17/2020 4:10:37 PM vukimanh1617: ::9/17/2020 4:10:40 PM vukimanh1617: :^9/17/2020 4:10:45 PM vukimanh1617: ^^9/17/2020 4:10:48 PM vukimanh1617: ^^)9/17/2020 4:10:53 PM vukimanh1617: Oxi có 3 đồng vị là 16;17 và 18 nhưng khối lượng nguyên tử của 3 đồng vị này chỉ lần lượt gần bằng 16;17 và 18 thôi do đó KL nguyên tử của oxi là 15.9994. (chúng ta coi KL nguyên tử là KL hạt nhân vì KL electron quá bé chỉ bằng 1/1840 KL proton nên coi như ta bỏ qua KL electron).9/23/2020 1:01:36 PM cubikt02: whew9/29/2020 11:26:41 PM cubikt02: ai on ko9/29/2020 11:26:51 PM khotaydo112005: wtf10/12/2020 7:27:23 PM khotaydo112005: hiro10/12/2020 7:27:36 PM dungcucubu123: đụ ko bay10/17/2020 3:50:47 PM cubikt02: bỏ đê bạn ei10/17/2020 9:58:09 PM tonngung: wave11/15/2020 8:51:35 AM thachthatkimquan: lo11/26/2020 6:56:53 PM ainhu2235: cho mình 5 ví dụ về hợp chất cộng hóa trị phân cực và không phân cực đi mấy chế ơii11/29/2020 5:06:32 PM ainhu2235: hép mi pờ sliii11/29/2020 5:06:55 PM trananhduc392: lô12/4/2020 10:04:41 PM hungvidn2005: YO NIGGAS12/5/2020 9:57:04 PM hungvidn2005: IHATE NIGGERS12/5/2020 9:57:13 PM hungvidn2005: NIGGERNIGGERNIGGERNIGGER12/5/2020 9:57:20 PM hungvidn2005: To be h
  • hdgt: dariusssur: alo alo'3/3/2020 1:06:28 PM dariusssur: có ai online hem3/3/2020 1:06:45 PM dariusssur: chỉ tui bài này với3/3/2020 1:07:46 PM dariusssur: ch3-ch-ch-ch2-ch33/3/2020 1:08:13 PM dariusssur: c2h5 ch33/3/2020 1:08:39 PM dariusssur: doc ten sao3/3/2020 1:08:50 PM akihabara: chào mn rolling_on_the_floor)3/4/2020 9:49:51 PM Capricorn: ...3/4/2020 10:30:00 PM nguyenhuynhhtt: giúp mk gọi tên anken vs mk rối quá3/6/2020 8:20:40 PM letrongthanh11052003: ??? hóa học là j3/6/2020 9:25:08 PM zaihophan123: hello xin chào mọi người, mình là misthy nè3/8/2020 9:00:26 PM Shiro: .3/24/2020 3:57:41 PM phuonganhlvt: haloo3/30/2020 8:57:15 PM domanhdung01102004: Ai chào tui cái coiwinking4/2/2020 10:48:09 PM Shiro: chào4/2/2020 10:48:58 PM domanhdung01102004: big_grin4/2/2020 10:49:22 PM Shiro: lần đầu tiên có người rep mình ở đây4/2/2020 10:49:39 PM Shiro: tưởng web die rồi chứ4/2/2020 10:49:49 PM domanhdung01102004: Thấy tin nhắn riêng chưa4/2/2020 10:50:24 PM Shiro: @.@4/2/2020 10:50:58 PM Shiro: ???4/2/2020 10:51:51 PM Shiro: .4/3/2020 12:28:41 AM Shiro: .4/3/2020 12:29:06 AM Shiro: .4/3/2020 12:29:17 AM domanhdung01102004: Hình như cả web có 2 đứa4/3/2020 9:03:10 AM domanhdung01102004: Ai đó trả lời tui đi angry4/3/2020 8:26:37 PM domanhdung01102004: Shiro đâu rồi4/3/2020 8:33:26 PM ngohungsi2000: e là mem mới4/8/2020 11:32:30 AM ngohungsi2000: hi mn4/8/2020 11:32:41 AM domanhdung01102004: Hello4/8/2020 9:54:24 PM cuongvit111: hi4/9/2020 8:44:48 PM cuongvit111: at_wits_end4/9/2020 8:45:43 PM Đỗ Mạnh Dũng: big_grinbig_grinbig_grin4/9/2020 10:23:25 PM dao7ac1: Lô mọi người4/26/2020 9:08:29 PM dao7ac1: Hấp thụ hoàn toàn 20.16 lít hh khí X gồm but 1 in và but 2 in vào AgNO3 NH3 dư sau pư thu dc bn gam kết tủa4/26/2020 9:09:20 PM dao7ac1: LM lms hả mọi ng4/26/2020 9:09:26 PM dao7ac1: chicken4/26/2020 9:30:22 PM dao7ac1: pig4/26/2020 9:32:09 PM jijexoj856: <script>alert(1)</script>5/8/2020 8:21:29 PM jijexoj856: "><script>alert(1)</script>5/8/2020 8:22:01 PM jijexoj856: <svg>5/8/2020 8:22:36 PM Shiro: hiiiiiiiiiiiiiiiiiiiiiiiiiiiii5/24/2020 2:30:09 PM Shiro: money_eyes5/24/2020 2:30:16 PM vukimanh1617: lô9/17/2020 4:09:15 PM vukimanh1617: happy9/17/2020 4:10:21 PM vukimanh1617: sad9/17/2020 4:10:37 PM vukimanh1617: ::9/17/2020 4:10:40 PM vukimanh1617: :^9/17/2020 4:10:45 PM vukimanh1617: ^^9/17/2020 4:10:48 PM vukimanh1617: ^^)9/17/2020 4:10:53 PM vukimanh1617: Oxi có 3 đồng vị là 16;17 và 18 nhưng khối lượng nguyên tử của 3 đồng vị này chỉ lần lượt gần bằng 16;17 và 18 thôi do đó KL nguyên tử của oxi là 15.9994. (chúng ta coi KL nguyên tử là KL hạt nhân vì KL electron quá bé chỉ bằng 1/1840 KL proton nên coi như ta bỏ qua KL electron).9/23/2020 1:01:36 PM cubikt02: whew9/29/2020 11:26:41 PM cubikt02: ai on ko9/29/2020 11:26:51 PM khotaydo112005: wtf10/12/2020 7:27:23 PM khotaydo112005: hiro10/12/2020 7:27:36 PM dungcucubu123: đụ ko bay10/17/2020 3:50:47 PM cubikt02: bỏ đê bạn ei10/17/2020 9:58:09 PM tonngung: wave11/15/2020 8:51:35 AM thachthatkimquan: lo11/26/2020 6:56:53 PM ainhu2235: cho mình 5 ví dụ về hợp chất cộng hóa trị phân cực và không phân cực đi mấy chế ơii11/29/2020 5:06:32 PM ainhu2235: hép mi pờ sliii11/29/2020 5:06:55 PM trananhduc392: lô12/4/2020 10:04:41 PM hungvidn2005: YO NIGGAS12/5/2020 9:57:04 PM hungvidn2005: IHATE NIGGERS12/5/2020 9:57:13 PM hungvidn2005: NIGGERNIGGERNIGGERNIGGER12/5/2020 9:57:20 PM hungvidn2005: To be h
  • hdgt: dariusssur: alo alo'3/3/2020 1:06:28 PM dariusssur: có ai online hem3/3/2020 1:06:45 PM dariusssur: chỉ tui bài này với3/3/2020 1:07:46 PM dariusssur: ch3-ch-ch-ch2-ch33/3/2020 1:08:13 PM dariusssur: c2h5 ch33/3/2020 1:08:39 PM dariusssur: doc ten sao3/3/2020 1:08:50 PM akihabara: chào mn rolling_on_the_floor)3/4/2020 9:49:51 PM Capricorn: ...3/4/2020 10:30:00 PM nguyenhuynhhtt: giúp mk gọi tên anken vs mk rối quá3/6/2020 8:20:40 PM letrongthanh11052003: ??? hóa học là j3/6/2020 9:25:08 PM zaihophan123: hello xin chào mọi người, mình là misthy nè3/8/2020 9:00:26 PM Shiro: .3/24/2020 3:57:41 PM phuonganhlvt: haloo3/30/2020 8:57:15 PM domanhdung01102004: Ai chào tui cái coiwinking4/2/2020 10:48:09 PM Shiro: chào4/2/2020 10:48:58 PM domanhdung01102004: big_grin4/2/2020 10:49:22 PM Shiro: lần đầu tiên có người rep mình ở đây4/2/2020 10:49:39 PM Shiro: tưởng web die rồi chứ4/2/2020 10:49:49 PM domanhdung01102004: Thấy tin nhắn riêng chưa4/2/2020 10:50:24 PM Shiro: @.@4/2/2020 10:50:58 PM Shiro: ???4/2/2020 10:51:51 PM Shiro: .4/3/2020 12:28:41 AM Shiro: .4/3/2020 12:29:06 AM Shiro: .4/3/2020 12:29:17 AM domanhdung01102004: Hình như cả web có 2 đứa4/3/2020 9:03:10 AM domanhdung01102004: Ai đó trả lời tui đi angry4/3/2020 8:26:37 PM domanhdung01102004: Shiro đâu rồi4/3/2020 8:33:26 PM ngohungsi2000: e là mem mới4/8/2020 11:32:30 AM ngohungsi2000: hi mn4/8/2020 11:32:41 AM domanhdung01102004: Hello4/8/2020 9:54:24 PM cuongvit111: hi4/9/2020 8:44:48 PM cuongvit111: at_wits_end4/9/2020 8:45:43 PM Đỗ Mạnh Dũng: big_grinbig_grinbig_grin4/9/2020 10:23:25 PM dao7ac1: Lô mọi người4/26/2020 9:08:29 PM dao7ac1: Hấp thụ hoàn toàn 20.16 lít hh khí X gồm but 1 in và but 2 in vào AgNO3 NH3 dư sau pư thu dc bn gam kết tủa4/26/2020 9:09:20 PM dao7ac1: LM lms hả mọi ng4/26/2020 9:09:26 PM dao7ac1: chicken4/26/2020 9:30:22 PM dao7ac1: pig4/26/2020 9:32:09 PM jijexoj856: <script>alert(1)</script>5/8/2020 8:21:29 PM jijexoj856: "><script>alert(1)</script>5/8/2020 8:22:01 PM jijexoj856: <svg>5/8/2020 8:22:36 PM Shiro: hiiiiiiiiiiiiiiiiiiiiiiiiiiiii5/24/2020 2:30:09 PM Shiro: money_eyes5/24/2020 2:30:16 PM vukimanh1617: lô9/17/2020 4:09:15 PM vukimanh1617: happy9/17/2020 4:10:21 PM vukimanh1617: sad9/17/2020 4:10:37 PM vukimanh1617: ::9/17/2020 4:10:40 PM vukimanh1617: :^9/17/2020 4:10:45 PM vukimanh1617: ^^9/17/2020 4:10:48 PM vukimanh1617: ^^)9/17/2020 4:10:53 PM vukimanh1617: Oxi có 3 đồng vị là 16;17 và 18 nhưng khối lượng nguyên tử của 3 đồng vị này chỉ lần lượt gần bằng 16;17 và 18 thôi do đó KL nguyên tử của oxi là 15.9994. (chúng ta coi KL nguyên tử là KL hạt nhân vì KL electron quá bé chỉ bằng 1/1840 KL proton nên coi như ta bỏ qua KL electron).9/23/2020 1:01:36 PM cubikt02: whew9/29/2020 11:26:41 PM cubikt02: ai on ko9/29/2020 11:26:51 PM khotaydo112005: wtf10/12/2020 7:27:23 PM khotaydo112005: hiro10/12/2020 7:27:36 PM dungcucubu123: đụ ko bay10/17/2020 3:50:47 PM cubikt02: bỏ đê bạn ei10/17/2020 9:58:09 PM tonngung: wave11/15/2020 8:51:35 AM thachthatkimquan: lo11/26/2020 6:56:53 PM ainhu2235: cho mình 5 ví dụ về hợp chất cộng hóa trị phân cực và không phân cực đi mấy chế ơii11/29/2020 5:06:32 PM ainhu2235: hép mi pờ sliii11/29/2020 5:06:55 PM trananhduc392: lô12/4/2020 10:04:41 PM hungvidn2005: YO NIGGAS12/5/2020 9:57:04 PM hungvidn2005: IHATE NIGGERS12/5/2020 9:57:13 PM hungvidn2005: NIGGERNIGGERNIGGERNIGGER12/5/2020 9:57:20 PM hungvidn2005: To be h
  • hdgt: dariusssur: alo alo'3/3/2020 1:06:28 PM dariusssur: có ai online hem3/3/2020 1:06:45 PM dariusssur: chỉ tui bài này với3/3/2020 1:07:46 PM dariusssur: ch3-ch-ch-ch2-ch33/3/2020 1:08:13 PM dariusssur: c2h5 ch33/3/2020 1:08:39 PM dariusssur: doc ten sao3/3/2020 1:08:50 PM akihabara: chào mn rolling_on_the_floor)3/4/2020 9:49:51 PM Capricorn: ...3/4/2020 10:30:00 PM nguyenhuynhhtt: giúp mk gọi tên anken vs mk rối quá3/6/2020 8:20:40 PM letrongthanh11052003: ??? hóa học là j3/6/2020 9:25:08 PM zaihophan123: hello xin chào mọi người, mình là misthy nè3/8/2020 9:00:26 PM Shiro: .3/24/2020 3:57:41 PM phuonganhlvt: haloo3/30/2020 8:57:15 PM domanhdung01102004: Ai chào tui cái coiwinking4/2/2020 10:48:09 PM Shiro: chào4/2/2020 10:48:58 PM domanhdung01102004: big_grin4/2/2020 10:49:22 PM Shiro: lần đầu tiên có người rep mình ở đây4/2/2020 10:49:39 PM Shiro: tưởng web die rồi chứ4/2/2020 10:49:49 PM domanhdung01102004: Thấy tin nhắn riêng chưa4/2/2020 10:50:24 PM Shiro: @.@4/2/2020 10:50:58 PM Shiro: ???4/2/2020 10:51:51 PM Shiro: .4/3/2020 12:28:41 AM Shiro: .4/3/2020 12:29:06 AM Shiro: .4/3/2020 12:29:17 AM domanhdung01102004: Hình như cả web có 2 đứa4/3/2020 9:03:10 AM domanhdung01102004: Ai đó trả lời tui đi angry4/3/2020 8:26:37 PM domanhdung01102004: Shiro đâu rồi4/3/2020 8:33:26 PM ngohungsi2000: e là mem mới4/8/2020 11:32:30 AM ngohungsi2000: hi mn4/8/2020 11:32:41 AM domanhdung01102004: Hello4/8/2020 9:54:24 PM cuongvit111: hi4/9/2020 8:44:48 PM cuongvit111: at_wits_end4/9/2020 8:45:43 PM Đỗ Mạnh Dũng: big_grinbig_grinbig_grin4/9/2020 10:23:25 PM dao7ac1: Lô mọi người4/26/2020 9:08:29 PM dao7ac1: Hấp thụ hoàn toàn 20.16 lít hh khí X gồm but 1 in và but 2 in vào AgNO3 NH3 dư sau pư thu dc bn gam kết tủa4/26/2020 9:09:20 PM dao7ac1: LM lms hả mọi ng4/26/2020 9:09:26 PM dao7ac1: chicken4/26/2020 9:30:22 PM dao7ac1: pig4/26/2020 9:32:09 PM jijexoj856: <script>alert(1)</script>5/8/2020 8:21:29 PM jijexoj856: "><script>alert(1)</script>5/8/2020 8:22:01 PM jijexoj856: <svg>5/8/2020 8:22:36 PM Shiro: hiiiiiiiiiiiiiiiiiiiiiiiiiiiii5/24/2020 2:30:09 PM Shiro: money_eyes5/24/2020 2:30:16 PM vukimanh1617: lô9/17/2020 4:09:15 PM vukimanh1617: happy9/17/2020 4:10:21 PM vukimanh1617: sad9/17/2020 4:10:37 PM vukimanh1617: ::9/17/2020 4:10:40 PM vukimanh1617: :^9/17/2020 4:10:45 PM vukimanh1617: ^^9/17/2020 4:10:48 PM vukimanh1617: ^^)9/17/2020 4:10:53 PM vukimanh1617: Oxi có 3 đồng vị là 16;17 và 18 nhưng khối lượng nguyên tử của 3 đồng vị này chỉ lần lượt gần bằng 16;17 và 18 thôi do đó KL nguyên tử của oxi là 15.9994. (chúng ta coi KL nguyên tử là KL hạt nhân vì KL electron quá bé chỉ bằng 1/1840 KL proton nên coi như ta bỏ qua KL electron).9/23/2020 1:01:36 PM cubikt02: whew9/29/2020 11:26:41 PM cubikt02: ai on ko9/29/2020 11:26:51 PM khotaydo112005: wtf10/12/2020 7:27:23 PM khotaydo112005: hiro10/12/2020 7:27:36 PM dungcucubu123: đụ ko bay10/17/2020 3:50:47 PM cubikt02: bỏ đê bạn ei10/17/2020 9:58:09 PM tonngung: wave11/15/2020 8:51:35 AM thachthatkimquan: lo11/26/2020 6:56:53 PM ainhu2235: cho mình 5 ví dụ về hợp chất cộng hóa trị phân cực và không phân cực đi mấy chế ơii11/29/2020 5:06:32 PM ainhu2235: hép mi pờ sliii11/29/2020 5:06:55 PM trananhduc392: lô12/4/2020 10:04:41 PM hungvidn2005: YO NIGGAS12/5/2020 9:57:04 PM hungvidn2005: IHATE NIGGERS12/5/2020 9:57:13 PM hungvidn2005: NIGGERNIGGERNIGGERNIGGER12/5/2020 9:57:20 PM hungvidn2005: To be h
  • hdgt: big_hugstar 8/15/2021 7:47:34 AM
  • hdgt: http://static.hoctainha.vn/image/emoticons/oh_go_on.gif 8/15/2021 7:47:56 AM
  • aki_aki: 5 năm rồi mà HTN vẫn còn nhỉ, chỉ là không còn đông vui như ngày trước 8/20/2021 4:29:55 PM
  • aki_aki: Hoài niệm quớ crying( 8/20/2021 4:30:07 PM
  • hdgdmgt: letrongthanh11052003: ??? hóa học là j3/6/2020 9:25:08 PM zaihophan123: hello xin chào mọi người, mình là misthy nè3/8/2020 9:00:26 PM Shiro: .3/24/2020 3:57:41 PM phuonganhlvt: haloo3/30/2020 8:57:15 PM domanhdung01102004: Ai chào tui cái coiwinking4/2/2020 10:48:09 PM Shiro: chào4/2/2020 10:48:58 PM domanhdung01102004: big_grin4/2/2020 10:49:22 PM Shiro: lần đầu tiên có người rep mình ở đây4/2/2020 10:49:39 PM Shiro: tưởng web die rồi chứ4/2/2020 10:49:49 PM domanhdung01102004: Thấy tin nhắn riêng chưa4/2/2020 10:50:24 PM Shiro: @.@4/2/2020 10:50:58 PM Shiro: ???4/2/2020 10:51:51 PM Shiro: .4/3/2020 12:28:41 AM Shiro: .4/3/2020 12:29:06 AM Shiro: .4/3/2020 12:29:17 AM domanhdung01102004: Hình như cả web có 2 đứa4/3/2020 9:03:10 AM domanhdung01102004: Ai đó trả lời tui đi angry4/3/2020 8:26:37 PM domanhdung01102004: Shiro đâu rồi4/3/2020 8:33:26 PM ngohungsi2000: e là mem mới4/8/2020 11:32:30 AM ngohungsi2000: hi mn4/8/2020 11:32:41 AM domanhdung01102004: Hello4/8/2020 9:54:24 PM cuongvit111: hi4/9/2020 8:44:48 PM cuongvit111: at_wits_end4/9/2020 8:45:43 PM Đỗ Mạnh Dũng: big_grinbig_grinbig_grin4/9/2020 10:23:25 PM dao7ac1: Lô mọi người4/26/2020 9:08:29 PM dao7ac1: Hấp thụ hoàn toàn 20.16 lít hh khí X gồm but 1 in và but 2 in vào AgNO3 NH3 dư sau pư thu dc bn gam kết tủa4/26/2020 9:09:20 PM dao7ac1: LM lms hả mọi ng4/26/2020 9:09:26 PM dao7ac1: chicken4/26/2020 9:30:22 PM dao7ac1: pig4/26/2020 9:32:09 PM jijexoj856: <script>alert(1)</script>5/8/2020 8:21:29 PM jijexoj856: "><script>alert(1)</script>5/8/2020 8:22:01 PM jijexoj856: <svg>5/8/2020 8:22:36 PM Shiro: hiiiiiiiiiiiiiiiiiiiiiiiiiiiii5/24/2020 2:30:09 PM Shiro: money_eyes5/24/2020 2:30:16 PM vukimanh1617: lô9/17/2020 4:09:15 PM vukimanh1617: happy9/17/2020 4:10:21 PM vukimanh1617: sad9/17/2020 4:10:37 PM vukimanh1617: ::9/17/2020 4:10:40 PM vukimanh1617: :^9/17/2020 4:10:45 PM vukimanh1617: ^^9/17/2020 4:10:48 PM vukimanh1617: ^^)9/17/2020 4:10:53 PM vukimanh1617: Oxi có 3 đồng vị là 16;17 và 18 nhưng khối lượng nguyên tử của 3 đồng vị này chỉ lần lượt gần bằng 16;17 và 18 thôi do đó KL nguyên tử của oxi là 15.9994. (chúng ta coi KL nguyên tử là KL hạt nhân vì KL electron quá bé chỉ bằng 1/1840 KL proton nên coi như ta bỏ qua KL electron).9/23/2020 1:01:36 PM cubikt02: whew9/29/2020 11:26:41 PM cubikt02: ai on ko9/29/2020 11:26:51 PM khotaydo112005: wtf10/12/2020 7:27:23 PM khotaydo112005: hiro10/12/2020 7:27:36 PM dungcucubu123: đụ ko bay10/17/2020 3:50:47 PM cubikt02: bỏ đê bạn ei10/17/2020 9:58:09 PM tonngung: wave11/15/2020 8:51:35 AM thachthatkimquan: lo11/26/2020 6:56:53 PM ainhu2235: cho mình 5 ví dụ về hợp chất cộng hóa trị phân cực và không phân cực đi mấy chế ơii11/29/2020 5:06:32 PM ainhu2235: hép mi pờ sliii11/29/2020 5:06:55 PM trananhduc392: lô12/4/2020 10:04:41 PM hungvidn2005: YO NIGGAS12/5/2020 9:57:04 PM hungvidn2005: IHATE NIGGERS12/5/2020 9:57:13 PM hungvidn2005: NIGGERNIGGERNIGGERNIGGER12/5/2020 9:57:20 PM hungvidn2005: To be honest I love black people12/5/2020 9:57:33 PM hungvidn2005: But those damn niggers12/5/2020 9:57:38 PM hungvidn2005: Keep on ruining stuff with their BLM and shit12/5/2020 9:57:53 PM hungvidn2005: EEEEEEEEEEEEEEEEEEEEEEEEEEEEEEEEEEE12/5/2020 10:15:35 PM hungvidn2005: I HAVEAUTISM REEEEEEEEEEEEEEEEEEEEEEEEEEEEEEEEEEEEEEEEEEEEEE12/5/2020 10:15:42 PM hungvidn2005: i hate nigger i don't like them12/5/2020 10:16:04 PM hungvidn2005: they be fucking my mother a
  • hdgdmgt: etrongthanh11052003: ??? hóa học là j3/6/2020 9:25:08 PM zaihophan123: hello xin chào mọi người, mình là misthy nè3/8/2020 9:00:26 PM Shiro: .3/24/2020 3:57:41 PM phuonganhlvt: haloo3/30/2020 8:57:15 PM domanhdung01102004: Ai chào tui cái coiwinking4/2/2020 10:48:09 PM Shiro: chào4/2/2020 10:48:58 PM domanhdung01102004: big_grin4/2/2020 10:49:22 PM Shiro: lần đầu tiên có người rep mình ở đây4/2/2020 10:49:39 PM Shiro: tưởng web die rồi chứ4/2/2020 10:49:49 PM domanhdung01102004: Thấy tin nhắn riêng chưa4/2/2020 10:50:24 PM Shiro: @.@4/2/2020 10:50:58 PM Shiro: ???4/2/2020 10:51:51 PM Shiro: .4/3/2020 12:28:41 AM Shiro: .4/3/2020 12:29:06 AM Shiro: .4/3/2020 12:29:17 AM domanhdung01102004: Hình như cả web có 2 đứa4/3/2020 9:03:10 AM domanhdung01102004: Ai đó trả lời tui đi angry4/3/2020 8:26:37 PM domanhdung01102004: Shiro đâu rồi4/3/2020 8:33:26 PM ngohungsi2000: e là mem mới4/8/2020 11:32:30 AM ngohungsi2000: hi mn4/8/2020 11:32:41 AM domanhdung01102004: Hello4/8/2020 9:54:24 PM cuongvit111: hi4/9/2020 8:44:48 PM cuongvit111: at_wits_end4/9/2020 8:45:43 PM Đỗ Mạnh Dũng: big_grinbig_grinbig_grin4/9/2020 10:23:25 PM dao7ac1: Lô mọi người4/26/2020 9:08:29 PM dao7ac1: Hấp thụ hoàn toàn 20.16 lít hh khí X gồm but 1 in và but 2 in vào AgNO3 NH3 dư sau pư thu dc bn gam kết tủa4/26/2020 9:09:20 PM dao7ac1: LM lms hả mọi ng4/26/2020 9:09:26 PM dao7ac1: chicken4/26/2020 9:30:22 PM dao7ac1: pig4/26/2020 9:32:09 PM jijexoj856: <script>alert(1)</script>5/8/2020 8:21:29 PM jijexoj856: "><script>alert(1)</script>5/8/2020 8:22:01 PM jijexoj856: <svg>5/8/2020 8:22:36 PM Shiro: hiiiiiiiiiiiiiiiiiiiiiiiiiiiii5/24/2020 2:30:09 PM Shiro: money_eyes5/24/2020 2:30:16 PM vukimanh1617: lô9/17/2020 4:09:15 PM vukimanh1617: happy9/17/2020 4:10:21 PM vukimanh1617: sad9/17/2020 4:10:37 PM vukimanh1617: ::9/17/2020 4:10:40 PM vukimanh1617: :^9/17/2020 4:10:45 PM vukimanh1617: ^^9/17/2020 4:10:48 PM vukimanh1617: ^^)9/17/2020 4:10:53 PM vukimanh1617: Oxi có 3 đồng vị là 16;17 và 18 nhưng khối lượng nguyên tử của 3 đồng vị này chỉ lần lượt gần bằng 16;17 và 18 thôi do đó KL nguyên tử của oxi là 15.9994. (chúng ta coi KL nguyên tử là KL hạt nhân vì KL electron quá bé chỉ bằng 1/1840 KL proton nên coi như ta bỏ qua KL electron).9/23/2020 1:01:36 PM cubikt02: whew9/29/2020 11:26:41 PM cubikt02: ai on ko9/29/2020 11:26:51 PM khotaydo112005: wtf10/12/2020 7:27:23 PM khotaydo112005: hiro10/12/2020 7:27:36 PM dungcucubu123: đụ ko bay10/17/2020 3:50:47 PM cubikt02: bỏ đê bạn ei10/17/2020 9:58:09 PM tonngung: wave11/15/2020 8:51:35 AM thachthatkimquan: lo11/26/2020 6:56:53 PM ainhu2235: cho mình 5 ví dụ về hợp chất cộng hóa trị phân cực và không phân cực đi mấy chế ơii11/29/2020 5:06:32 PM ainhu2235: hép mi pờ sliii11/29/2020 5:06:55 PM trananhduc392: lô12/4/2020 10:04:41 PM hungvidn2005: YO NIGGAS12/5/2020 9:57:04 PM hungvidn2005: IHATE NIGGERS12/5/2020 9:57:13 PM hungvidn2005: NIGGERNIGGERNIGGERNIGGER12/5/2020 9:57:20 PM hungvidn2005: To be honest I love black people12/5/2020 9:57:33 PM hungvidn2005: But those damn niggers12/5/2020 9:57:38 PM hungvidn2005: Keep on ruining stuff with their BLM and shit12/5/2020 9:57:53 PM hungvidn2005: EEEEEEEEEEEEEEEEEEEEEEEEEEEEEEEEEEE12/5/2020 10:15:35 PM hungvidn2005: I HAVEAUTISM REEEEEEEEEEEEEEEEEEEEEEEEEEEEEEEEEEEEEEEEEEEEEE12/5/2020 10:15:42 PM hungvidn2005: i hate nigger i don't like them12/5/2020 10:16:04 PM hungvidn2005: they be fucking my mother an
  • koten123: 1. Hỗn hợp X gồm 3 este đơn chức, tạo thành từ cùng một ancol Y với 3 axit cacboxylic (phân tử chỉ có nhóm -COOH); trong đó, có hai axit no là đồng đẳng kế tiếp nhau và một axit không no (có đồng phân hình học,chứa một liên kết đôi C=C trong phân tửwinking. Thủy phân hoàn toàn 5,88gam X bằng dung dịch NaOH, thu được hỗn hợp muối và m gam ancol Y. Cho m gam Y vào bình đựng Na dư, sau phản ứng thu được 896 ml khí (đktc)và khối lượng bình tăng 2,48gam. Mặt khác, nếu đốt cháy hoàn toàn 5,88gam X thì thu được CO2 và 3,96 gam H2O. Phần trăm khối lượng của este không no trong X là A)40,82%. B)29,25%. C)34,01%. D)38,76%. 9/7/2021 7:58:10 PM
  • cac: chào 9/29/2021 3:54:05 PM
  • cac: happy 9/29/2021 3:54:09 PM
  • cac: doh 9/29/2021 3:54:20 PM
  • cac: scajhfds\fadf 9/29/2021 3:54:59 PM
  • cac: f 9/29/2021 3:54:59 PM
  • cac: dfa 9/29/2021 3:55:00 PM
  • cac: fds 9/29/2021 3:55:01 PM
  • cac: fsdfk;sldfjskdf 9/29/2021 3:55:02 PM
  • cac: sdf 9/29/2021 3:55:02 PM
  • cac: df 9/29/2021 3:55:02 PM
  • cac: dsd 9/29/2021 3:55:02 PM
  • cac: d 9/29/2021 3:55:02 PM
  • cac: sddsfsdflsdflkjdsf 9/29/2021 3:55:04 PM
  • cac: df 9/29/2021 3:55:04 PM
  • cac: dfkdjfdflfjkdsf 9/29/2021 3:55:05 PM
  • cac: địt mẹ hoàng 9/29/2021 3:55:10 PM
  • cac: địt mẹ thắng 9/29/2021 3:55:13 PM
  • hatanphat201005: loser 10/9/2021 10:40:22 AM
  • Nguyenchiphong2909: )) 11/4/2021 4:48:36 PM
  • Nguyenchiphong2909: chán thế 11/4/2021 4:48:40 PM
  • phamducquan2007: có ai ko 1/25/2022 3:09:40 PM
  • tontuenhu9hbt: hi 2/9/2022 9:51:22 PM
  • mailtam0211: dfdf 2/14/2022 9:45:40 PM
  • mailtam0211: abc 2/14/2022 9:45:51 PM
  • mailtam0211: chời má 2/14/2022 9:45:55 PM
  • mailtam0211: tưởng có ai 2/14/2022 9:45:59 PM
  • mailtam0211: làm đăng ký tài khoản để cat 2/14/2022 9:46:17 PM
  • mailtam0211: chat 2/14/2022 9:46:20 PM
  • mailtam0211: vl luôn 2/14/2022 9:46:34 PM
  • mailtam0211: những ai có ý định tạo tk thì dừng ngay ý nghĩ đó trong đầu đi nha mn 2/14/2022 9:47:00 PM
  • C50™: 5 năm trước thì nhộn nhịp :v 2/23/2022 6:54:01 PM
  • phatdinh: tk là gì? 4/6/2022 9:51:07 AM
  • gwenhee2027: heloo 9/14/2022 8:53:08 PM
  • gwenhee2027: tui ms biết đến cái này ms tạo acc xong 9/14/2022 8:53:33 PM
  • gwenhee2027: sleepy 9/14/2022 8:54:01 PM
  • dinhsaoyt3: Hi mn 10/26/2022 8:45:38 PM
  • dinhsaoyt3: Cuso4 thủy phân ko nhỉ 10/26/2022 8:46:18 PM
  • dinhsaoyt3: Có đk 10/26/2022 8:46:24 PM
Đăng nhập để chém gió cùng mọi người
  • Đỗ Quang Chính
  • viet130480
  • Xusint
  • thanhhuyen431
  • phmgiang128
  • koi hi
  • nams2a1996
  • watashitipho
  • Lê Quang Trung
  • quangbac1993
  • HọcTạiNhà
  • tinhyeucuocsong199x
  • Cá Hêu
  • henry0905
  • prettygirl97huahua
  • minhtien1406
  • hnguyentien
  • Vô Minh
  • ekira9x
  • ngolam39
  • mynoname3
  • nguyenvanchinh040493
  • caunhocngoc_97
  • tronglam234
  • maiyeunguoi_love_hy
  • heosua2912
  • lord_of_wolfs_back
  • tamhero96
  • kimvanthao
  • cchuaq
  • vukythien
  • cobetocnau.lyly
  • nguyenphong01071991
  • thanhnguyen5718
  • kd_8296
  • hocdetaodungtuonglai10
  • tachuong312
  • manhtuongbgvnvn
  • nguyenhieupro98
  • ductoan933
  • gnolwalker
  • Tiến Thực
  • nghis2179
  • woodknight22
  • Gà Rừng
  • kpakinh7
  • thanhtran8101998
  • vitvitvit29
  • letronghai23
  • babyhe0vip
  • lygiahuyks
  • quangkl1998a
  • tokhatnhi_vip
  • mymylanhchanh_nhinhanh
  • isco1992
  • monkey_tb_96
  • Vo Quy Hung
  • thanhnhi1949
  • yeulaptrinh98
  • faylovebeast
  • thangha1311999
  • Dân Nguyễn
  • bontiton96
  • sua.shine90109
  • mikicodon
  • duyenlacuaduy
  • nnguyenminhson70
  • doffy.onepiece
  • Mun Sociu
  • megai1995
  • white cloud
  • th.thinhkts
  • Thịnh Hải Yến
  • gaprodianguc95
  • congthanglun4
  • smallhouse253
  • chestnutnguyen97
  • tinhnghich.caheo
  • jodieiris285
  • ẩn ngư
  • meoconlucloi1998
  • lenguyenanhthu2991999
  • °•☾๖ۣۜDe๖ۣۜViL☽•°
  • sakurakinomoto199
  • ๖ۣۜHoa•๖ۣۜSữa™
  • parkji99999
  • bồ công anh
  • never give up
  • huongdvu89
  • Dark
  • nhocthienthan18
  • LanguaeofLegend
  • saupc7
  • Ruande Zôn
  • tart
  • huyen_anh_bn98
  • dieulinhnt.ptit
  • nhuynguyen113
  • greengreen4398
  • lexuanmanh98
  • camtucau0101
  • huongduong2603
  • huethanh527
  • misstrang97
  • Gia Bảo
  • dongthoigian1096
  • thanhhoapro056
  • ttra2004
  • njnda_blade
  • ~ *** ~
  • kzinpro
  • nguyenthanhtien1357
  • pengok71
  • nhinhupy
  • haumjn
  • linhlun17041998
  • luu00238
  • oanhoanhlx2
  • GIA LONG
  • Cô nàng tháng sáu
  • phamnhitrinh
  • kaitokidabcd
  • thienhoangsinh
  • ngoandinh3
  • phamstars1203
  • shungshinhye
  • mailatoi456
  • tranvanduy214
  • phamthithoa673
  • ntquang1999
  • ng.phamlamvien2000
  • SPAMER
  • phuongphuongthanhthanh1010
  • jasmine16397
  • hoangtuhit
  • tran85295
  • hoangoanh2893
  • bengocquynh1504
  • lebinhtx5
  • tbn.chemisnoi
  • Hakunzee
  • ★★★★★★★★★★JOHNNN 509★★★★★★★★★★
  • caibang267
  • huongthuycherry
  • Nhok Clover
  • phamtienthanh1994
  • fininana
  • sea dragon
  • narutoandsashuke
  • vananhsh98
  • bbb
  • Jessica
  • rooneyminh1998
  • trangh152
  • nam961997
  • duongthuanhieu
  • tizon9x
  • hieuvip102222
  • quynhpham16598
  • daxanh.bolide
  • huynguyenhuu657
  • hongtram0702
  • Hi i'm Vanus
  • uyenlarry81
  • tieuthukhotinh11
  • trongtlt95
  • bahai1966
  • Binsaito
  • hangphuong74
  • oanh12345
  • tuncunmich
  • han
  • trangjn10
  • ๖ۣۜJinღ๖ۣۜKaido
  • dobaonam.nbo
  • tieuyen
  • nhattrieuvo
  • andeptrai_thichreus
  • baoboombuumbuum
  • luongvanduc148
  • Tranhunghx
  • Salim
  • yeumenhieulamlamlam
  • ๖ۣۜJinღ๖ۣۜKaido ( Lãnh Phong)
  • Hoahong24400
  • MiMi
  • Ruanyu Jian
  • NhẬt Nhật
  • Băng Hạ
  • mynguyen899112
  • nguyenhuevk66
  • •♥• Kem •♥•
  • thu1262000
  • thekiet93
  • trinhlinh491999
  • nguyencamvanctld
  • bichxuyen222
  • hoangchung000
  • ho_ngoc_ba
  • creepypasta
  • tuananh111195
  • dinhthuong5429
  • hongngocnguyen2k
  • khongcanten994
  • nguyenthao1210tt
  • machongquantqn
  • noivoi_visaothe
  • Yatogami Tohka
  • Trang241299
  • dattqk789
  • DuDu
  • Duyên ngốc ngếch
  • Jin Zhi
  • bestlucian
  • hoasociu2920
  • diem12TN
  • xunubaobinh2
  • van11111
  • thanhmuongvt
  • quangquyen3072000
  • utnhinhanh163
  • cobedoihon999xx
  • khoqua122
  • vanhuydk
  • Kuroba Kaito
  • anh_hung_tooc
  • thaiviptn1201
  • CHỈ THÍCH ĂN
  • ❦Nắng❦
  • Minh Tâm
  • linh.sociuu.50
  • thuthuongkpl
  • tusso
  • tranhai98
  • Saodieuccnd
  • vinguyenvinguyenbe
  • myhuyen
  • suunhi
  • quocnhatlove0811
  • Hàn Thiên Dii
  • buatruavuive
  • vũ văn trí kiên
  • caothuhocduong9xtn
  • ♦ ♣ ๖ۣۜTrung ♠ ♥
  • thanhthuy
  • Elsie_EJ
  • Yêu Tatoo
  • kieuphuongcodon9x
  • nth.huonguyen.012
  • hainam0905
  • Hoài Sherry
  • ☼SunShine❤️
  • ๖ۣۜConan♥doyleღ
  • Lê Thị Thùy Linh
  • hieu
  • Nguyễn Nhung
  • aki
  • h231
  • Trang sưphụ
  • nguyenlamnich
  • Lionel Messi
  • thaohoatob
  • woodygxpham
  • eri
  • min_0310
  • diepbangdao1
  • minhkaka
  • danius99qn
  • ๖ۣۜQueenღ
  • [_đéo_có_tên_]
  • vienvien
  • ღComPuncTionღ
  • phuonghoagcs
  • tasfuskau
  • manhcuong1999x
  • Moss
  • Băng
  • baongoc9912
  • Vy851998
  • Vanus
  • ducnguyenminh777
  • daehanmingukmanse99
  • amthambenem661
  • sophie.uyen89
  • không có tên
  • D U C K F A N Y
  • Kim Thưởng
  • ♥thắng♥ys
  • ngoc.nvb0108
  • kanguru_talatao
  • joehart3004
  • phu1279
  • linhblabla284
  • Kaito kid
  • svvodoi7
  • thuyduong99
  • ๖ۣۜDemonღ
  • luongthitramy2001
  • thienphucqaz
  • rin47
  • cherry_pjs107
  • ♂KKK♂
  • thingvql
  • Kh'Anh
  • Chinh Cherry
  • B҉ãO҉-t҉ố҉
  • tuandanghoang2002
  • hold my hand pls
  • ngocnghech
  • ngngoc24400
  • Lê Giang
  • goodjob
  • Only One
  • .....
  • maitran12336
  • VioletBurBle
  • ncsonnbi234
  • SKTelecomT1
  • ...
  • minhanlc310
  • skyyst57
  • thuyvan
  • Tiểu Nhị Lang
  • Mặt Trời Bé
  • sói tuyết
  • 17.10
  • dangsrb14
  • minh.anh.dong2001
  • ,
  • cô chủ của osin
  • lovekarry219
  • Hạ Vân
  • Khánh-h Hạ-a
  • roypham2000
  • Tiểu Hi
  • thu.anhpb
  • linhduonghy
  • Tiểu Linh
  • huynhandi
  • nghi.0402
  • Gin
  • doraemonkun75
  • daothihuong2001
  • Capricorn
  • jhfghfgjtfj
  • Don't Leave Me
  • leduydung
  • haolevakk
  • thao2632111
  • phamvankieu92
  • :))
  • Fan SooBin
  • leqang1512
  • thuphuong
  • bestbana01
  • Donald Trump
  • killer2991999
  • gggtrangtrang1245
  • theboy_vip96
  • lebahoaidongson
  • Đức Vỹ
  • manhdung1267
  • htphong19
  • letiendat10a1nc1
  • domanhcuong21082000
  • hmt2232001
  • vinu3007
  • hacphapsu96
  • chuotcondangyeu07082004
  • quynhmaisnowangle
  • hiennguyen295295
  • nguyensuong2399
  • dotuyen632001
  • thanhtruc2004k
  • dthieu13701
  • Ntiem1078
  • linhtrnphng553
  • milavihan
  • phanhien234
  • khanhhung4869
  • duongquy2404
  • ngocank2001
  • phanchau456
  • joeynguyen782
  • ankhang2081988
  • bogalaga
  • banhbeolanhlung
  • cencibe
  • nguyenvotunglinh
  • tanhtuan509
  • cencibe
  • gam251201
  • Ryoma
  • tranggaytp
  • Leduyenbinhphuong11a3
  • mabongdem500
  • linh2004
  • tam69863
  • bestervn
  • vuhieuglgvnb
  • ngan21686
  • cuahanganhduc
  • Shiro